|
어떻게 푸는지 알려줄 분..
삭제된 댓글입니다
ㅋㅌㅋㅋㅋㅋㅋㅋㅋ나도
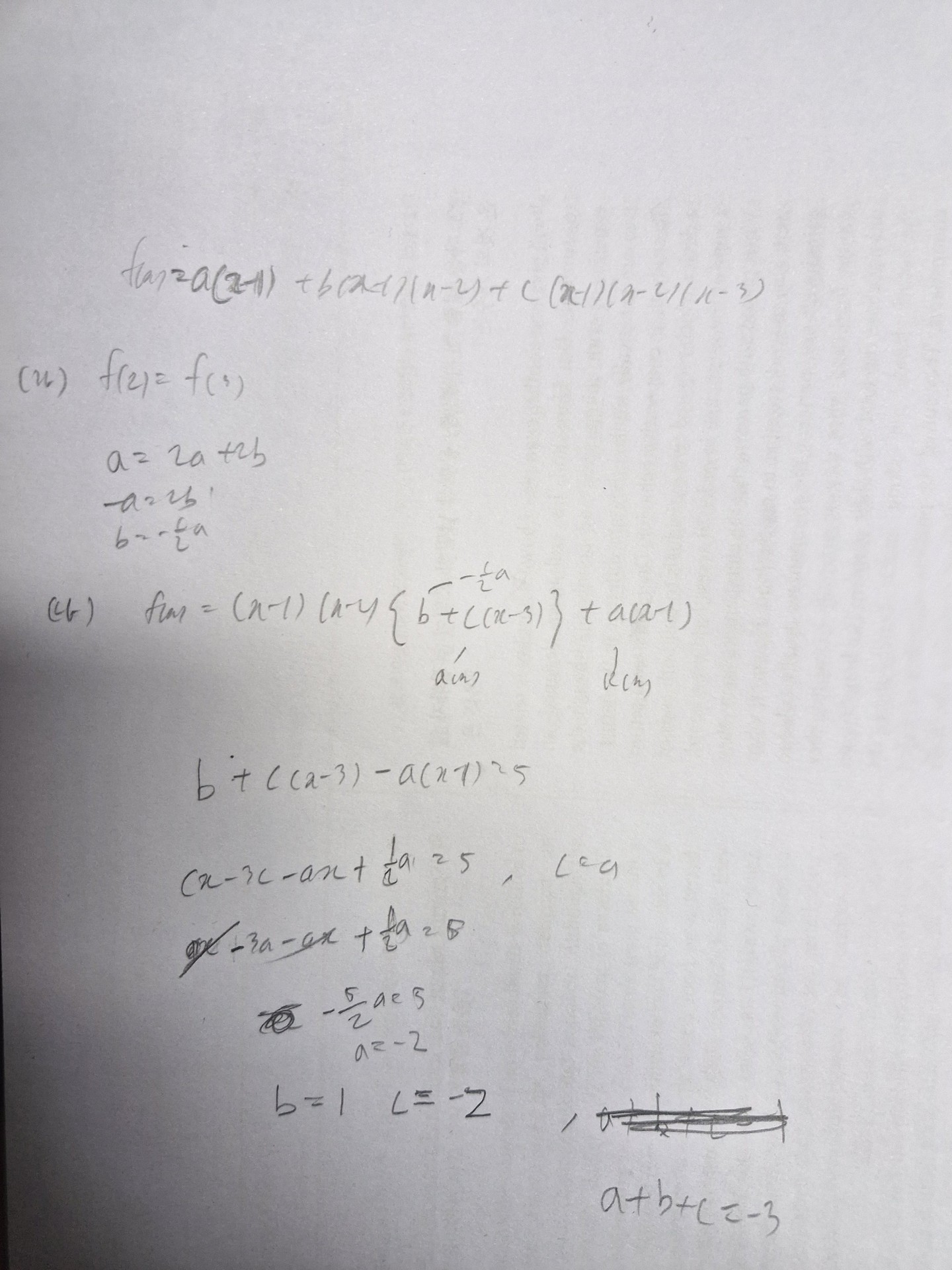
악필이라 못알아보겠으면 또 물어봐
답은 아시는 상태인 건가요?아니면 완전히 모르시는 상태이신 건가요?풀이를 해드리려고여 ㅎㅎ
a(x-1)은 (x-1)(x-2)로 나누어떨어질 수 없다는 사실..
로그인 후 댓글을 입력해 보세요
우리반 시간표 바로 확인하기
학교/학원정보, 커뮤니티도 더 편하게!
삭제된 댓글입니다
ㅋㅌㅋㅋㅋㅋㅋㅋㅋ나도
악필이라 못알아보겠으면 또 물어봐
답은 아시는 상태인 건가요?
아니면 완전히 모르시는 상태이신 건가요?
풀이를 해드리려고여 ㅎㅎ
a(x-1)은 (x-1)(x-2)로 나누어떨어질 수 없다는 사실..
로그인 후 댓글을 입력해 보세요